• Concepto de glúcidos
  • Monosacáridos
    1. triosas
    2. pentosas
    3. hexosas
    4. Ciclación de monosacáridos
  • Disacáridos
    1. lactosa
    2. maltosa
    3. sacarosa

  • Polisacáridos
    1. almidón
    2. glucógeno
    3. celulosa


    CONCEPTO DE GLÚCIDOS



    Los glúcidos son biomoléculas formadas básicamente por carbono (C),hidrógeno (H) y oxígeno (O). Los átomos de carbono están unidos a grupos alcohólicos (-OH), llamados también radicales hidroxilo y a radicales hidrógeno (-H).
    En todos los glúcidos siempre hay un grupo carbonilo, es decir, un carbono unido a un oxígeno mediante un doble enlace (C=O). El grupo carbonilo puede ser un grupo aldehído(-CHO), o un grupo cetónico (-CO-). Así pues, los glúcidos pueden definirse como polihidroxialdehídos o polihidroxicetonas.

    El primer glúcido es el más pequeño que existe, tiene 3 átomos de carbono solamente, es además una aldosa porque posee un
    grupo aldehído (-CHO );
    el segundo ejemplo correspondería a una cetosa, por tener un
    grupo cetona (C=O )
    Inicio de página

    MONOSACÁRIDOS

    Los monosacáridos son glúcidos sencillos, constituídos sólo por una cadena. Se nombran añadiendo la terminación -osa al número de carbonos.



    Por ejemplo, en el dibujo están representados una triosa, una tetrosa, una pentosa y una hexosa.
    1. Las triosas , son abundantes en el interior de la célula, ya que son metabolitos intermediarios de la degradación de la glucosa
    2. Las pentosas, son glúcidos de 5 carbonos y entre ellos se encuentran: Ribosa y Desoxirribosa , que forman parte de los ácidos nucléicos y la ribulosa que desempeña un importante papel en la fotosíntesis, debido a que a ella se fija el CO2 atmosférico y de esta manera se incorpora el carbono al ciclo de la materia viva.
    3. Las hexosas , son glúcidos con 6 átomos de carbono. Entre ellas tienen interés en biología, la glucosa y galactosa entre las aldohexosas y la fructosa entre las cetohexosas.

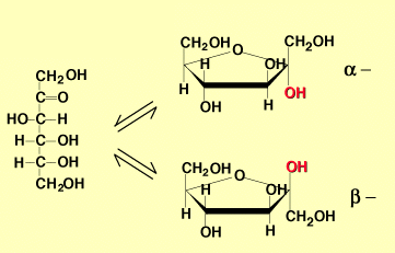
      En disolución acuosa, los monosacáridos se cierran formando unos anillos de 5 ó 6 lados , furanos y piranos, respectivamente.

      Aquí está representada la fórmula lineal y cíclica de la fructosa, formando un anillo de cinco lados que corresponde al furano Al cerrarse la molécula el grupo -OH (marcado en rojo), puede ocupar dos posiciones, respecto al grupo -CH2OH del C5. Son dos nuevos isómeros, denominados anómeros alfa (en posición trans)y beta(en posición cis)

      Estas fórmulas representan a la glucosa en su forma lineal y cíclica, en este caso el anillo formado tiene 6 lados y corresponde al esqueleto pirano. Es el glúcido más abundante, llamado azúcar de uva; en la sangre se encuentra en concentraciones de un gramo por litro Al polimerizarse da lugar a polisacáridos con función energética (almidón y glucógeno) o con fución estructural, como la celulosa de las plantas.
    Inicio de página

    Ciclación de monosacáridos




    En este esquema puede apreciarse como se cierra la molécula de un monosacárido, en este caso una hexosa. El grupo carbonilo del C1 queda próximo al C5 y entre ellos reaccionan sus radicales en una reacción intramolecular entre un grupo aldehido (el del C1) y un grupo alcohol (el del C5), formándose un hemiacetal.Ambos carbonos quedarán unidos mediante un átomo de oxígeno. El C1 se denomina Carbono anomérico y posee un grupo -OH llamado hemiacetálico y según la posición de este grupo, se originan dos anómeros (alfa y beta).
    El estudio de la ciclación fue realizado por Haworth y se conoce con el nombre de proyección de Haworth

    Inicio de página

    DISACÁRIDOS


    los disacáridos están formados por la unión de dos monosacáridos, que se realiza de dos formas:
    1. Mediante enlace monocarbonílico, entre el C1 anomérico de un monosacárido y un C no anomérico de otro monosacárido, como se ve en las fórmulas de la lactosa y maltosa. Estos disacáridos conservan el carácter reductor .



      LACTOSA

      MALTOSA


    2. Mediante enlace dicarbonílico, si se establece entre los dos carbonos anoméricos de los dos monosacáridos, con lo que el disacárido pierde su poder reductor, por ejemplo como ocurre en la sacarosa

    SACAROSA
    Inicio de página

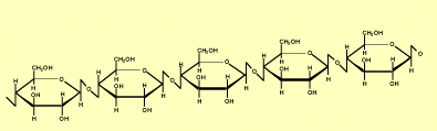
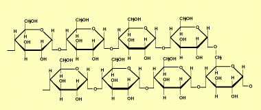
    POLISACÁRIDOS

    Los polisacáridos están formados por la unión de muchos monosacáridos (puede variar entre 11 y varios miles), mediante enlace O-glucosídico,similar al visto en disacáridos, con pérdida de una molécula de agua por cada enlace. Tienen pesos moleculares muy elevados, no poseen poder reductor y pueden desempeñar funciones de reserva energética o función estructural.Los polisacáridos que tienen función de reserva energética presentan enlace a-glucosídico y son :
    1. Almidón, que es el polisacárido de reserva propio de los vegetales, y está integrado por dos tipos de polímeros:
      • la amilosa, formada por unidades de maltosa,unidas mediante enlaces a(1-4). Presenta estructura helicoidal.
      • la amilopectina , formada también por unidades de maltosas unidas mediante enlaces a(1-4), con ramificaciones en posición a(1-6).


      POLÍMEROS QUE FORMAN EL ALMIDÓN

      AMILOSA

      AMILOPECTINA


    2. Glucógeno es el polisacárido propio de los animales. Se encuentra abundantemente en el hígado y en los músculos. Molécula muy similar a la amilopectina; pero con mayor abundancia de ramificaciones.


    Entre los polisacáridos estructurales, destaca la celulosa , que forma la pared celular de la célula vegetal. Esta pared constituye un estuche en el que queda encerrada la célula, que persiste tras la muerte de ésta.

    La celulosa está constituída por unidades de b-glucosa, y la peculiaridad del enlace b(beta) hace a la celulosa inatacable por las enzimas digestivas humanas, por ello, este polisacárido no tiene interés alimentario para el hombre..



    Inicio de página